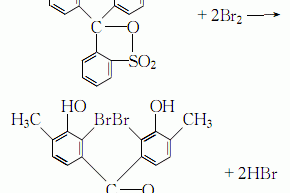
bromocresol purple
structural formula business number 037z molecular formula c21h16br2o5s molecular weight 540.22 label dibromo-o-cresolsulfonphthalein, dibromo-o-cresolsulfonyl phthalide, dibromo-o-cresolsulfonphthalide, 5,5′-dibromo-o-cresolsulfonphthalein, bromcresol purple sultone form, indicator numbering system physical property data toxicological data ecological data molecular structure data computing chemical data more properties and stability storage method synthesis method purpose numbering system cas number:115-40-2 mdl number:mfcd00011681 einecs number:204-087-8 rtecs…

