application of 5,6-dihydro-3-(4-morpholinyl)-1-[4-(2-oxo-1-piperidinyl)phenyl]-2(1h)-pyridone_kain industrial additives
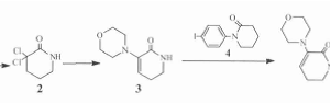
background [1] 5,6-dihydro-3-(4-morpholinyl)-1-[4-(2-oxo-1-piperidinyl)phenyl]-2(1h)-pyridone was prepared intermediates of apixaban. apixaban (1), chemical name is 1-(4-methoxyphenyl)-7-oxo-6-[4-(2-oxopiperidine- 1-yl)phenyl]-4,5,6,7-tetrahydro-1h-pyrazolo[3,4-c] pyridine-3- formamide is an anticoagulant drug jointly developed by bristol-myers squibb and pfizer. it directly acts on coagulation factor xa. it was approved for marketing by the eu and fda in may 2011 and december 2012 respectively. it is launched…

