application and preparation route of 2-fluoro-6-nitrotoluene_kain industrial additive
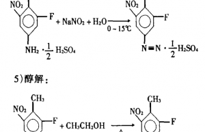
background and overview[1] 2-fluoro-6-nitrotoluene can be used as a pharmaceutical synthesis intermediate, such as the preparation of fluorine-substituted indole compounds. indole series products have various important biological activities, so the research and development of indole series products , has always been highly valued by the pharmaceutical industry. especially in recent years, domestic and foreign journals…

