Amoxicillin trihydrate compacted
amoxicillin trihydrate compacted
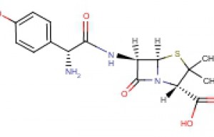
post date: dec 14,2021 expiry date: jun 12,2022 detailed description: cas no. :26787-78-0 cas registry number: 26787-78-0 synonyms: ;4-thia-1-azabicyclo[3.2.0]heptane-2-carboxylic acid, 6-[[2-amino-2-(4-hydroxyphenyl)acetyl]amino]-3,3-dimethyl-7-oxo-;4-thia-1-azabicyclo[3.2.0]heptane-2-carboxylic acid, 6-[[amino(4-hydroxyphenyl)acetyl]amino]-3,3-dimethyl-7-oxo-;6-{[amino(4-hydroxyphenyl)acetyl]amino}-3,3-dimethyl-7-oxo-4-thia-1-azabicyclo[3.2.0]heptane-2-carboxylic acid; molecular formula: c16h25n3o8s molecular weight: 419.45 molecular structure:

