aluminum reagent
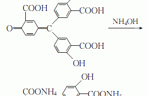
structural formula business number 05tt molecular formula c22h23n3o9 molecular weight 473.44 label rose red ammonium tricarboxylate, salicyl o-aminophenol, salicylaldehyde o-aminophenol acetate, golden red ammonium tricarboxylate, rose red ammonium trihydroxylate, ammonium aurin trihydroxyate, aluminum, ammonium aurintricarboxylate, ata, aurintricarboxylic acid ammonium salt, indicator numbering system physical property data toxicological data ecological data molecular structure data computing chemical…

