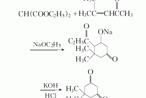
5,5-dimethyl-1,3-cyclohexanedione 5,5- dimrthyl-1,3-cyclohexanedione
structural formula business number 03ka molecular formula c8h12o2 molecular weight 140.18 label 1,1-dimethylcyclohexanedione, 1,1-dimethylcyclohexane-3,5-dione, damidon, dimidone, dimethyldihydroresorcinol, dimethylcyclohexanedione, aldehyde reagent, alicyclic compounds numbering system physical property data toxicological data ecological data molecular structure data computing chemical data more properties and stability storage method synthesis method purpose numbering system cas number:126-81-8 mdl number:mfcd00001588 einecs number:204-804-4 rtecs…

