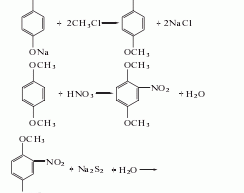
2,5-dimethoxyaniline 2,5-dimethoxyaniline
structural formula business number 02m9 molecular formula c8h11no2 molecular weight 153 label aminohydroquinone dimethyl ether, 2-amino-1,4-dimethoxybenzene, o-aminoterephthalene, aminohydroquinone dimethyl ether, aromatic nitrogen-containing compounds and their derivatives numbering system physical property data toxicological data ecological data molecular structure data computing chemical data more properties and stability storage method synthesis method purpose numbering system cas number:102-56-7 mdl…

