4,4′-thiobis(6-tert-butyl-3-methylphenol) 4,4′- thio-bis (6-tert-butyl-3-methylphenol)
structural formula business number 02bd molecular formula c22h30o2s molecular weight 358.53 label 5-tert-butyl-4-hydroxy-2-methylphenylene sulfide, 4,4′-thiobis(3-methyl-6-tert-butyl)phenol, anti-aging agent 300, 5-tert-butyl-4-hydroxy-2-methyl phenyl sulfide, antioxidants numbering system physical property data toxicological data ecological data molecular structure data computing chemical data more properties and stability storage method synthesis method purpose numbering system cas number:96-69-5 mdl number:mfcd00026287 einecs number:202-525-2 rtecs…
4,4′-thiobis(6-tert-butyl-o-phenol) 4,4′-thiobis(6-tert-butyl-o-cresol)
structural formula business number 02bc molecular formula c22h30o2s molecular weight 358.54 label none yet numbering system physical property data toxicological data ecological data molecular structure data computing chemical data more properties and stability storage method synthesis method purpose numbering system cas number:96-66-2 mdl number:mfcd00008823 einecs number:202-522-6 rtecs number:gp3200000 brn number:none pubchem id:none physical property data…
4,4′-dihydroxybiphenyl 4,4′-dihydroxybiphenyl
structural formula business number 025e molecular formula c12h10o2 molecular weight 186.21 label (1,1′-biphenyl)-4,4′-diol, 4,4′-diphenol, 4,4′-biphenyldiol, biphenyl, 4,4′-biphenyldiol, (1,1′-biphenyl) -4,4′-diol, 4,4′-phenol, 4,4′ – biphenyl diol, dihydroxybiphenyl, 4,4′- biphenyl phenol, anti-aging agent numbering system physical property data toxicological data ecological data molecular structure data computing chemical data more properties and stability storage method synthesis method purpose numbering…
2,4,5-trichlorophenol 2,4,5-trichlorophenol
structural formula business number 02a8 molecular formula c6h3cl3o molecular weight 197.45 label 2,4,5-trichlorophenol, 2,4,5-trichlorophenol, 2,4,5-trichloro-1-hydroxy-benzene, aromatic halogen derivatives numbering system physical property data toxicological data ecological data molecular structure data computing chemical data more properties and stability storage method synthesis method purpose numbering system cas number:95-95-4 mdl number:mfcd00002170 einecs number:202-467-8 rtecs number:sn1400000 brn number:607569 pubchem…
1,2,4,5-tetrachlorobenzene 1,2,4,5-tetrachlorobenzene
structural formula business number 02a7 molecular formula c6h2cl4 molecular weight 215 label none numbering system physical property data toxicological data ecological data molecular structure data computing chemical data more properties and stability storage method synthesis method purpose numbering system cas number:95-94-3 mdl number:mfcd00000549 einecs number:202-466-2 rtecs number:db9450000 brn number:1618315 pubchem number:24848038 physical property data 1.…
3,4,6-trichloro-2-nitrophenol 3,4,6-trichloro-2-nitrophenol
structural formula business number 01t1 molecular formula c6h2cl3no3 molecular weight 242.44 label 2-nitro-3,4,6-trichlorophenol, 2-nitro-3,4,6-trichlorophenol numbering system physical property data toxicological data ecological data molecular structure data computing chemical data more properties and stability storage method synthesis method purpose numbering system cas number:82-62-2 mdl number:none einecs number:none rtecs number:none brn number:none pubchem id:none physical property data…
2,3,4,5-tetrachlorobenzoic acid 2,3,4,5-tetrachlorobenzoic acid
structural formula business number 0143 molecular formula c7h2cl4o2 molecular weight 259.9 label 2,3,4,5-tetrachlorobenzoic acid numbering system physical property data toxicological data ecological data molecular structure data computing chemical data more properties and stability storage method synthesis method purpose numbering system cas number:50-74-8 mdl number:none einecs number:none rtecs number:none brn number:none pubchem id:none physical property data…
2,4,6-trichlorobenzoic acid 2,4,6-trichlorobenzoic acid
structural formula business number 013n molecular formula c7h3o2cl3 molecular weight 225.46 label trysben(tm), cl3c6h2co2h numbering system physical property data toxicological data ecological data molecular structure data computing chemical data more properties and stability storage method synthesis method purpose numbering system cas number:50-43-1 mdl number:mfcd00060699 einecs number:none rtecs number:dh8050000 brn number:1874127 pubchem number:24861240 physical property data…
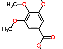
mt005783,4,5-trimethoxybenzoic acid methyl ester 1916-07-0
english name: methyl 3,4,5-trimethoxybenzoate common aliases: 3,4,5-trimethoxybenzoic acid methyl ester; 3,4,5-trimethoxybenzoic acid methyl ester; trimethoprim impurity h; trimethoprim impurity h cas number: 1916-07-0 boiling point: 274.5±0.0 °c at 760 mmhg mdl number: n/a melting point: 82-84 °c(lit.) molecular formula: c11h14o5 flash point: 115.2±18.2 °c molecular weight: 226.226 density: 1.1±0.1 g/cm3 physical and chemical properties: n/a…
mt006222,4,6-trichlorophenol 88-06-2
english name: 2,4,6-trichlorophenol common aliases: 2,4,6-trichlorophenol;2,4,6-trichlorophenol cas number: 88-06-2 boiling point: 246.0±0.0 °c at 760 mmhg mdl number: n/a melting point: 64-66 °c(lit.) molecular formula: c6h3cl3o flash point: 95.9±25.9 °c molecular weight: 197.446 density: 1.6±0.1 g/cm3 physical and chemical properties: n/a storage conditions: avoid light, store in a cool and dry place, sealed

