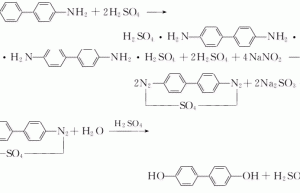
4,4′-dihydroxybiphenyl
structural formula business number 025e molecular formula c12h10o2 molecular weight 186.21 label (1,1′-biphenyl)-4,4′-diol, 4,4′-diphenol, 4,4′-biphenyldiol, biphenyl, 4,4′-biphenyldiol, (1,1′-biphenyl) -4,4′-diol, 4,4′-phenol, 4,4′ – biphenyl diol, dihydroxybiphenyl, 4,4′- biphenyl phenol, anti-aging agent numbering system physical property data toxicological data ecological data molecular structure data computing chemical data more properties and stability storage method synthesis method purpose numbering…
4,4′-dihydroxybiphenyl 4,4′-dihydroxybiphenyl
structural formula business number 025e molecular formula c12h10o2 molecular weight 186.21 label (1,1′-biphenyl)-4,4′-diol, 4,4′-diphenol, 4,4′-biphenyldiol, biphenyl, 4,4′-biphenyldiol, (1,1′-biphenyl) -4,4′-diol, 4,4′-phenol, 4,4′ – biphenyl diol, dihydroxybiphenyl, 4,4′- biphenyl phenol, anti-aging agent numbering system physical property data toxicological data ecological data molecular structure data computing chemical data more properties and stability storage method synthesis method purpose numbering…

