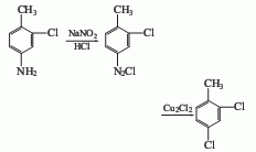
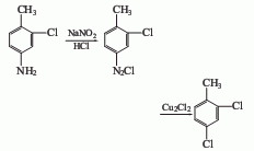
2,4-dichlorotoluene
structural formula business number 029p molecular formula c7h6cl2 molecular weight 161 label 2,4-dichloro-1-methylbenzene, 2,4-dichlorotoluene (dichlorotoluene), 2,4-dichloro-1-toluene, 2,4-dichloro-1-methylbenzene, 2,4-dichloromethylbenzene, aromatic halogen derivatives numbering system physical property data toxicological data ecological data molecular structure data computing chemical data more properties and stability storage method synthesis method purpose numbering system cas number:95-73-8 mdl number:mfcd00000583 einecs number:202-445-8 rtecs number:xt0730000…
3,4-dichlorotoluene 3,4-dichlorotoluene
structural formula business number 029r molecular formula c7h6cl2 molecular weight 161.03 label 1,2-dichloro-4-toluene, 3,4-dichlorotoluene (dichlorotoluene), 1,2-dichloro-4-methyl-benzene, ch3c6h3cl2, halogenated hydrocarbon solvents, aromatic compounds numbering system physical property data toxicological data ecological data molecular structure data computing chemical data more properties and stability storage method synthesis method purpose numbering system cas number:95-75-0 mdl number:mfcd00000556 einecs number:202-447-9 rtecs…
2,4-dichlorotoluene 2,4-dichlorotoluene
structural formula business number 029p molecular formula c7h6cl2 molecular weight 161 label 2,4-dichloro-1-methylbenzene, 2,4-dichlorotoluene (dichlorotoluene), 2,4-dichloro-1-toluene, 2,4-dichloro-1-methylbenzene, 2,4-dichloromethylbenzene, aromatic halogen derivatives numbering system physical property data toxicological data ecological data molecular structure data computing chemical data more properties and stability storage method synthesis method purpose numbering system cas number:95-73-8 mdl number:mfcd00000583 einecs number:202-445-8 rtecs number:xt0730000…

