3,4-dichloroaniline
structural formula business number 029s molecular formula c6h5cl2n molecular weight 162 label aromatic nitrogen-containing compounds and their derivatives numbering system physical property data toxicological data ecological data molecular structure data computing chemical data more properties and stability storage method synthesis method purpose numbering system cas number:95-76-1 mdl number:mfcd00007768 einecs number:202-448-4 rtecs number:bx2625000 brn number:636837 pubchem…
2,4-dichloroaniline
structural formula business number 05q0 molecular formula c6h5ncl2 molecular weight 162.02 label 2,4-dichloro, 2,4-dichloro-anilin, 2,4-dichloro-benzenamin, amines numbering system physical property data toxicological data ecological data molecular structure data computing chemical data more properties and stability storage method synthesis method purpose numbering system cas number:554-00-7 mdl number:mfcd00007661 einecs number:209-057-8 rtecs number:bx2600000 brn number:386422 pubchem number:24861967 physical…
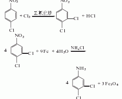
3,4-dichloroaniline 3,4-dichloroaniline
structural formula business number 029s molecular formula c6h5cl2n molecular weight 162 label aromatic nitrogen-containing compounds and their derivatives numbering system physical property data toxicological data ecological data molecular structure data computing chemical data more properties and stability storage method synthesis method purpose numbering system cas number:95-76-1 mdl number:mfcd00007768 einecs number:202-448-4 rtecs number:bx2625000 brn number:636837 pubchem…

