preparation method and application of 1,4-benzenediol_kain industrial additive
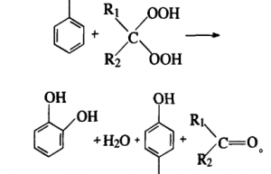
background and application[1] 1,4-benzodiphenol, also known as hydroquinone, is an important chemical raw material. in recent years, domestic demand for it has shown a growing trend, and its consumption area has expanded year by year. 1,4-benzodiphenol is widely used and is an important raw material, intermediate and auxiliary agent for medicine, pesticides, dyes and rubber.…

