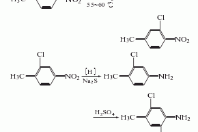
4-amino-2-chlorotoluene-5-sulfonic acid
structural formula business number 01zm molecular formula c7h8clno3s molecular weight 221.66 label 2-amino-5-methyl-p-chlorobenzenesulfonic acid, 2-amino-4-chloro-5-methylbenzenesulfonic acid, 2-amino-4-chloro-5-methylbenzenesulfonic acid, aromatic sulfur compounds numbering system physical property data toxicological data ecological data molecular structure data computing chemical data more properties and stability storage method synthesis method purpose numbering system cas number:88-51-7 mdl number:mfcd00035771 einecs number:201-837-6 rtecs number:xt6330000…

