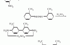
3,3′-dimethylbenzidine
structural formula business number 03bh molecular formula c14h16n12 molecular weight 212.29 label o-toluidine, o-toluidine; diaminodimethylbiphenyl, o-tolidine, 4-4’diamino-3-3′-dimethylbiphenyl, aromatic nitrogen-containing compounds and their derivatives numbering system physical property data toxicological data ecological data molecular structure data computing chemical data more properties and stability storage method synthesis method purpose numbering system cas number:119-93-7 mdl number:mfcd00014773 einecs number:204-358-0…

