1,2,3-trichlorobenzene
structural formula business number 01y7 molecular formula c6h3cl3 molecular weight 181 label none numbering system physical property data toxicological data ecological data molecular structure data computing chemical data more properties and stability storage method synthesis method purpose numbering system cas number:87-61-6 mdl number:mfcd00000537 einecs number:201-757-1 rtecs number:dc2095000 brn number:956882 pubchem number:24862748 physical property data 1.…
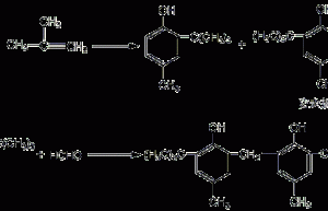
2,2′-methylenebis(6-tert-butyl-4-methylphenol)
structural formula business number 03ax molecular formula c23h32o2 molecular weight 340.51 label antioxidant 2246, antioxidant 2246, stabilizer numbering system physical property data toxicological data ecological data molecular structure data computing chemical data more properties and stability storage method synthesis method purpose numbering system cas number:119-47-1 mdl number:mfcd00043641 einecs number:204-327-1 rtecs number:pa3500000 brn number:none pubchem number:24865552…
2,3-dimethylaniline
structural formula business number 01y5 molecular formula c8h11n molecular weight 121.18 label 2,3-dimethylaniline, o-xyleneamine, 2,3-dimethylaniline, 2,3-dimethylbenzenamine, o-xylidine numbering system physical property data toxicological data ecological data molecular structure data computing chemical data more properties and stability storage method synthesis method purpose numbering system cas number:87-59-2 mdl number:mfcd00007732 einecs number:201-755-0 rtecs number:ze8750000 brn number:742174 pubchem number:24893445…
2,4,6-trichloroanisole
structural formula business number 01xx molecular formula c7h5cl3o molecular weight 211.47 label 2,4,6-trichloroanisole, 2,4,6-trichloro-1-methoxybenzene, cl3c6h2och3 numbering system physical property data toxicological data ecological data molecular structure data computing chemical data more properties and stability storage method synthesis method purpose numbering system cas number:87-40-1 mdl number:mfcd00000588 einecs number:201-743-5 rtecs number:none brn number:2329219 pubchem number:24861209 physical property…
2,4-dinitroanisole
structural formula business number 03am molecular formula c7h6n2o5 molecular weight 198.15 label 1-methoxy-2,4-dinitrobenzene, 1-methoxy-2,4-dinitrobenzene, insecticide egg spray numbering system physical property data toxicological data ecological data molecular structure data computing chemical data more properties and stability storage method synthesis method purpose numbering system cas number:119-27-7 mdl number:none einecs number:none rtecs number:none brn number:none pubchem id:none…
2,4-dinitrophenylhydrazine
structural formula business number 03al molecular formula c6h6n4o4 molecular weight 198.14 label 2,4-dinitrophenylhydrazine, solution, dinitrophenylhydrazine, 2,4-dinitrophenylhydrazine (0407 prohibited from air transport), dye numbering system physical property data toxicological data ecological data molecular structure data computing chemical data more properties and stability storage method synthesis method purpose numbering system cas number:119-26-6 mdl number:mfcd00007578 einecs number:none rtecs…
2,5-diethylnitrobenzene
structural formula business number 03ah molecular formula c10h13no4 molecular weight 211.21 label (c2h5o)2c6h3no2, heterocyclic compounds numbering system physical property data toxicological data ecological data molecular structure data computing chemical data more properties and stability storage method synthesis method purpose numbering system cas number:119-23-3 mdl number:mfcd00007100 einecs number:204-308-8 rtecs number:none brn number:none pubchem id:none physical property…
2,4,6-tribromophenol
structural formula business number 00ed molecular formula c6h3br3o molecular weight 330.80 label 2,4,6-tribromophenol, reactive flame retardants, electronic coating raw materials and intermediates numbering system physical property data toxicological data ecological data molecular structure data computing chemical data more properties and stability storage method synthesis method purpose numbering system cas number:118-79-6 mdl number:mfcd00002150 einecs number:204-278-6 rtecs…
2,4-dihydroxyquinoline
structural formula business number 01xa molecular formula c9h7no2 molecular weight 161.16 label 4-hydroxy-2-(1h)-quinolinone, 2,4-quinolinediol, 2,4-quinolinediol numbering system physical property data toxicological data ecological data molecular structure data computing chemical data more properties and stability storage method synthesis method purpose numbering system cas number:86-95-3 mdl number:mfcd00006744 einecs number:201-711-0 rtecs number:fg7300000 brn number:124854 pubchem number:24899203 physical property…
2,6-dimethylmercaptophenol
structural formula business number 03a2 molecular formula c8h10s molecular weight 138.23 label 2,6-dimethylbenzenethiol, (ch3)2c6h3sh, food additives, flavor enhancer numbering system physical property data toxicological data ecological data molecular structure data computing chemical data more properties and stability storage method synthesis method purpose numbering system cas number:118-72-9 mdl number:mfcd00010021 einecs number:204-272-3 rtecs number:none brn number:none pubchem…

