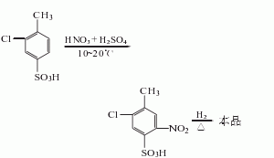
2-amino-5-chloro-4-methylbenzenesulfonic acid
structural formula business number 01zn molecular formula c7h8clno3s molecular weight 221.66 label 2-amino-5-chloro-p-toluenesulfonic acid, 3-amino-4-sulfonic acid-6-chlorotoluene; 3-amino-6-chlorotoluene-4-sulfonic acid; 6-chloro-3-aminotoluene-4-sulfonic acid; clt acid, 2-amino-5-chloro-p-toluenesulfonic acid, aromatic sulfur compounds, raw materials and intermediates used in ink numbering system physical property data toxicological data ecological data molecular structure data computing chemical data more properties and stability storage method…

