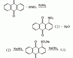
1-chloroanthraquinone 1-chloroanthraquinone
structural formula business number 01sx molecular formula c14h7clo2 molecular weight 242.66 label 1-chloroanthraquinone, α-chloroanthraquinone, α-chloroanthraquinone, aromatic aldehydes, ketones and their derivatives numbering system physical property data toxicological data ecological data molecular structure data computing chemical data more properties and stability storage method synthesis method purpose numbering system cas number:82-44-0 mdl number:mfcd00001189 einecs number:201-421-4 rtecs number:cb6150000…

