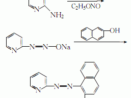
1-(2-pyridinylazo)-2-naphthol 1-(2-pyridinylazo)-2-naohthalenol
structural formula business number 01wb molecular formula c15h11n3o molecular weight 249.27 label α-pyridylazo-β-naphthol;, α-pyridylazo-β-napnthol, pan, o-pan, metal indicator numbering system physical property data toxicological data ecological data molecular structure data computing chemical data more properties and stability storage method synthesis method purpose numbering system cas number:85-85-8 mdl number:mfcd00004071 einecs number:201-637-9 rtecs number:none brn number:206390 pubchem…

